如何评估和消除压缩空气泄漏?
发布日期:2021-08-12
作者:
压缩空气又是一种昂贵的能源动力源,持续降低压缩空气整体的运营费用,是每一个工厂管理者的重要课题。
压缩空气是工业领域中最为广泛应用的动力源之一,由于其具有安全、无公害、调节性能好、输送方便等诸多优点,使其在现代化、自动力领域中应用越来越广。压缩空气又是一种昂贵的能源动力源,持续降低压缩空气整体的运营费用,是每一个工厂管理者的重要课题。
压缩空气泄漏几乎是工厂里最常见的一种能源浪费。平均压缩空气的泄漏量占整个压缩空气量的30%,这意味着每年数以万计的电费支出是被泄漏掉了。有些泄漏是非常明显的,它不但发出很大的噪声,甚至可以通过触觉和视觉发现泄漏的发生。而有些泄漏又非常隐蔽,除了微小的不容易听到声响之外,“隐蔽”的泄漏往往发生在工作场所背景噪声较大的环境中。以上所有的泄漏,组成了整个系统中的泄漏源。泄漏通常发生在以下这些部位:
管道接头、快插接头
压力调节器(FRL)
经常打开的冷凝水排放阀
破损的软管,破裂的管道
一个正常运转的系统,难以避免会有泄漏的发生。根据美国能源部(DOE)相关调查结果和本文作者长年经验总结,每一个系统都有泄漏现象存在,近60%的工厂对于空气系统中的泄漏未采取任何措施。当然,一个工厂希望彻底消除泄漏几乎不可能,我们能够做到的就是将压缩空气的泄漏控制在一个合理的范围内。这个“合理”的范围和工厂的规模与新旧有很大的关系:
对于新建系统(少于1年)或小型工厂,泄漏率控制在5%到7%之间
对于2~5年的系统或中型工厂,泄漏率在7%到10%之间
对于超过10年的系统或大型工厂,泄漏率在10%到12%之间
泄漏不仅仅直接导致能源的浪费,它也在间接导致着工厂停工风险增高。当泄漏现象加剧时,整个压缩空气系统的压力会下降,如果希望保持空气系统的压力,就必须要开启额外的压缩机,这也会使整个工厂的用电成本进一步抬升。在有些工厂,有大量的间歇性排放装置,如电子排污阀,这些阀门基本以固定时间间隔排放冷凝水或其它废液,而排放时间内当废液已经排放干净之后,大量的压缩空气就会离开压缩空气系统。在某个时间,可能会存在多个排放阀同时排气的情况,这时整个系统的压力会突然下跌,甚至超过系统能接受的最低压力而造成整个系统的停产。这是一种典型的运行事故。由于压缩空气是由空气压缩机做功而制造出来,空气压缩机又由电动机拖动,所以空气的泄漏就间接意味着电能的浪费。定量压缩空气泄漏是一件比较复杂的工作,在不同空气压力下,不同大小的泄漏点和泄漏空气量关系如下表:
泄漏量和电费金额可以用以下公式估算:

式中:
E:每年泄漏空气折合电费金额,元
QLeak:泄漏量,m3/min
6.5:平均的比功率参数,kW/(m3/min)
TYear:每年的空气供气时间,小时
Ce:电费单价,元/kWh
以3毫米小孔在表压7bar压力下的泄漏作为计算,一个月浪费的电能就需要支出2500元电费(注:假设24小时连续运转,每月30天,电费单价¥0.8/千瓦时)。在实践中,有三种方法常被用来定量评估压缩空气的泄漏量,它们分别是:
储气容积测定法
压缩机运行测定法
超声波泄漏检查法
假设一个空气系统是密闭的,只有泄漏作为压缩空气离开空气系统的唯一方式,对于压缩空气系统有以下泄漏计算公式:
式中:
QLeak:泄漏量,m3/min
∆P:压力差,bar
P0:绝对压力,bar
V:泄漏的空气量,m3
T:测试时间,min
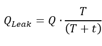
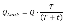
举个例子,如果一个空气系统,其储气总容积(包括储气罐和管路等)为6 m3,泄漏的压缩空气导致3分钟内储气罐压力从7barg下降到6bar g,那么泄漏量为:Q=2 /min,在3分钟内共计泄漏了6 m³的空气。闭空气系统中所有的用气设备,确保所有压缩空气系统中空气都是以泄漏方式离开系统的。开启一台压缩机,采用加卸载模式(On-Line/Off-Line)运行,记录压缩机的压力设定点Pon和Poff和各运行时间。
式中:
QLeak:泄漏量,m3/min
Q:压缩机的排气量,m3/min
T:加载运行时间,min
t:卸载运行时间,min
举个例子,如果一个空气系统中只有一台10m³/min的压缩机在运行,压力设定点是7bar~8bar,平均加载运行时间1.5分钟,卸载运行时间1分钟,那么泄漏量为:Q=6 m³/min,在3分钟内共计泄漏了18 m³的空气。压缩空气泄漏检测的困难在于大部分管路都无法轻易触及,它们或安装于高空,或隐藏于箱体,而且由于空气泄漏无法从视觉上判断出来,所以超声波检测是一种常用的方法。超声波通常是指频率高过20kHz的波段,而人耳所能接收到的上限值为16.5kHZ,利用这一特性,超声波检测压缩空气泄漏可以在工业检测中得以应用。超音波泄漏检测仪是一种使用专用仪器,任何气体通过泄漏孔都会产生涡流,会有超音波波段的部份,超音波泄漏检测仪能够感应任何种类的气体泄漏。通过接收空气泄漏发出高频“嘶嘶”的声音,从而确定泄漏点的方式。超声波泄漏检测仪通常由麦克风、滤波器、指示器和耳机组成。泄漏量和测试的距离及超声波的数值有关系,不同厂商生产的超声波泄漏检测仪有不同的参数表。
巡视整个工厂,快速挑出空气系统中明显的大型泄漏点,如开启的阀门、软管上的抹布(有些工人为了掩饰漏点而覆盖抹布消音),仍在供气,但未启动的机器,排水阀,快插等等;